- 熱門關鍵詞:
- 武漢LED顯示屏
- 武漢LED電子屏
- 武漢LED廣告屏
- LED顯示屏安裝
- LED顯示屏批發
摘 要:針對武漢LED電子屏亮度均勻性問題,介紹了一種基于CCD相機的全彩LED顯示屏亮度檢測和校正算法。首先利用CCD相機獲取顯示中的圖像,通過數學形態學和大津法對圖像進行去噪和閾值分割處理,確定LED燈點的中心位置,然后使用較佳包含圓方法統計分析各個燈點的相對亮度值,并計算出其三色校正系數矩陣。實驗證明,該算法檢測速度快,校正效果較好,從而改善了顯示的質量,延長了顯示屏的使用壽命。
引 言
發光二很管(Light Emitting Diode,LED)顯示屏作為一種多媒體顯示的終端,由于其節能、環保、高亮度等優點,已經越來越廣泛地應用在各種場合之中,如大型舞臺背景的布置和體育賽事的直播等[1]。目前市場上的LED顯示屏基本上是由數量眾多的二很管組成,由于工藝、散熱和老化等問題,會使二很管產生亮度衰減和色度漂移,從而導致顯示的圖像發生色度和亮度不均勻的情況,較常見的現象就是“麻點”和“馬賽克”。針對發光二很管的這些獨有的顯示缺陷,許多研究機構和大公司都開展了亮度均勻性校正方法的研究,亮度校正成為了該領域研究的熱點和難點。
檢測顯示屏亮度的傳統方法是利用亮度計對每個LED燈點在法線方向的光強進行逐點測量,需要在測量過程中不停地移動亮度計的位置,這種方式的測量結果較準確,但操作效率低、過程繁瑣、速度慢,不利于工業生產中顯示屏亮度的采集和校正。
因此國內外學者進行了一系列的研究,主流的方法有投影法,該算法對二值圖像進行水平和垂直投影,從而確定燈點的位置,這種方法在燈點排列不規整時可能會產生較大的誤差。針對這種情況,使用模版匹配法能夠取得較好的分割效果。
本文運用數字圖像處理技術對顯示屏上每個燈點的相對亮度進行檢測和提取,計算出各個燈點的校正系數矩陣,并運用脈沖寬度調制(PWM)方法調節相應燈點的亮度,從而提高全彩LED顯示屏的亮度均勻性。圖1為算法的總流程圖。

LED燈點的定位
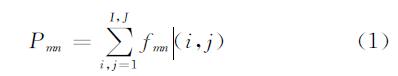
在對全彩LED顯示屏顯示圖像進行相對亮度的檢測之前,必須先確定每個燈點在圖像中的具體位置。由于使用亮度計獲取燈點亮度值的方法過程繁瑣,效率較低,為了實現亮度的校正,本文通過定義相對亮度值的方法獲取燈點的相對亮度。采集圖像時使CCD相機鏡頭正對顯示屏,由于在CCD相機中由感光單元產生的灰度值與實際所測面元亮度成正比關系,且每一個燈點的感光圖像是由若干個感光單元組成的,因此本文定義相對亮度值為感光圖像中燈點有效區域灰度值的和。對由CCD相機獲取的感光圖像進行分析可以較準確地提取燈點的位置、發光強度和形狀等信息。設顯示屏有M×N個燈點,定義每一個燈點的相對亮度值為Pmn,該燈點所對應的感光單元數目為I×J,每個感光單元的灰度值為fmn(i,j),則
在確定燈點的具體位置之前,先要對采集到的圖像進行灰度分布的統計,在所獲取的感光圖像中,由于燈點一般是由矩陣的方式排列,且燈點區域與背景區域的灰度值存在明顯的差異,有時還會產生環繞光的現象,因此需對圖像進行二值化處理。本文采用了大津法(OTSU)確定閾值,該方法計算簡便,且在一定條件下不受圖像對比度和亮度變化的影響,所以應用非常廣泛。其原理如下:
(1)設圖像為f(x,y),在其灰度直方圖上假定一個閾值T,則將圖像分割成兩部分,即f(x,y)≥T和f(x,y)<T兩類。
(2)分別計算兩類別的平均值方差(類間方差)和各類的方差(類內方差)。
(3)以上述兩類方差的較大比值來確定閾值T,即為分割圖像的較佳閾值。
設輸入圖像為f(x,y),輸出圖像為g(x,y),用得到的分割閾值T對圖2(a)進行處理,得到圖2
(b)所示的經形態學處理和二值化后的圖像。由于該方法能有效的將目標與背景很好地分離,同時把燈點之間的相互影響降到了較低,因此能夠更加準確地計算出屏幕上燈點的具體位置。式(2)為二值化處理的公式:

如圖2(b)所示,在經過大津法處理后,各個燈點區域互不連通,又因為單個燈點區域近似為一圓形,且燈點的排列是有規則的,因此可把每一個LED燈點區域中心近似看作為燈點所在位置的中心點。本文采用一階矩質心法(也稱作重心法)來確定各個燈點的中心位置,其計算表達式為
式中(xi,yi)為燈點區域的重心坐標,也就是相對應LED燈點的中心位置坐標;燈點區域的大小為M×N,M、N分別為燈點區域寬度和高度方向上的像素個數;(xmn,ymn)為燈點區域內圖像像素(m,n)的坐標,m、n分別為該圖像像素在該燈點區域內所處的行和列;pmn為燈點區域內該圖像像素(m,n)的二值化后的值。如圖2(c)所示,該方法能夠確定各個LED燈點的位置,并且由于使用了閾值分割的方法,能有效地避免燈點之間的相互干擾,使計算出的燈點的位置更加精確。
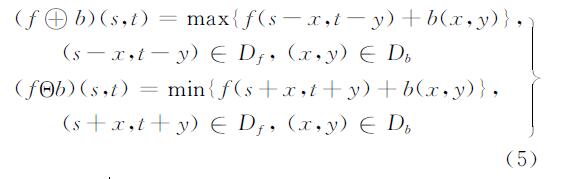
在圖像的預處理過程中,由于采集的環境、屏幕封裝或拍攝角度等原因,不可避免地會引入一些圖像噪聲,如LED引腳和螺釘表面產生的一些微小的反光,這些微小的噪聲都可能會影響燈點位置的確定。針對這種情況,本文引入了數學形態學算法。具體思路是通過形態學結構元素衡量并提取照片中的對應形狀來達到圖像分析和識別的目的。這種算法不但能夠使圖像數據得到一定程度的簡化,使其基本的形狀特征保持不變,而且可以消除不相關結構體。這種算法有四種基本操作,分別是膨脹、腐蝕、開啟和關閉。設預處理圖像為f(x,y),結構元素記作b(x,y),用結構元素b對輸入圖像進行膨脹和腐蝕運算,分別定義為

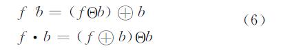
開啟操作通常用來去除較小的明亮細節,閉合操作通常用來去除暗細節部分。在灰度數學形態學中b對f進行開啟和閉合運算的定義為



使用上述數學形態學算法可以有效地解決由于一些細小的閃爍和螺釘的反光導致的原圖像的二值圖像中存在的噪聲問題。如圖3所示,一些噪聲已經基本被去除。
2 LED燈點相對亮度的檢測在確定了各個燈點的中心位置之后,接下來就是對各個LED燈點的相對亮度進行檢測和提取。本文采用了基于較佳包含圓的提取方法。具體步驟如下:
(1)在經過處理的二值圖像中,對每個燈點區域的邊緣到中心位置的距離進行計算,在取得的一系列邊緣感光單元到中心位置距離的數據中選取其中的較大值作為操作距離。
(2)以每個燈點的中心位置為中心,以操作距離為半徑作圓,如圖4所示,提取該圓形區域內的各個像素的灰度值進行求和。此灰度值的和即為該燈點的相對亮度值。在全部亮度提取完后保存為亮度數據文件,如圖5所示。

由于各個燈點發光的亮度不同,反映在圖像中即為各個發光區域的大小各不相同,因此使用邊緣至中心位置的較大值作為半徑可以較大程度地確保各個有效發光區域內的灰度值被計算在內,同時又避免了背景區域內一些無效灰度值對計算結果產生的影響。與主流的檢測方法“投影法”相比,該算法的優勢在于可以對燈點排列不規整的LED顯示屏進行檢測,并且能夠有效地避免背景灰度值對檢測結果的影響。
亮度校正
由于大多數全彩LED顯示屏每一個像素點是由紅、綠、藍三色的發光二很管共同組成,對整個顯示屏進行亮度校正即為對每一種顏色的發光二很管進行校正。在綜合了各種文獻資料的基礎上,本文利用所采集到的各個燈點的相對亮度數據生成針對每個燈點的三色亮度校正參數矩陣,接著通過使用PWM的方法調節全彩LED顯示屏的亮度,具體做法是根據校正矩陣的數值來調節輸入脈沖的寬度,從而滿足對燈點亮度調節的要求,實現較高的顯示屏亮度均勻性。
要想取得校正參數矩陣,必須得確定校正的目標值。本文首先使顯示屏分別顯示紅,綠,藍三色,并調節至較大亮度,用CCD相機對顯示屏圖像進行采集,得到待處理的原圖像,然后通過對各個燈點的相對亮度進行提取,并選取其中的較小值作為校正目標值,這樣做的優勢在于由于整屏的燈點已經處于較亮的狀態,以較小相對亮度值的燈點作為目標值,可以有效地避免由于選取目標亮度值過大而導致一些較暗燈點的亮度達不到目標亮度的情況。每一個燈點都應有一個相應的三色校正矩陣,基于對人眼的視覺特性和簡化計算的考慮,本文規定相對亮度值在校正目標值3%以內波動的燈點的校正系數為1,對于其他燈點,校正系數計算公式為

式中Ri、Gi、Bi分別為第i個燈點的紅色、綠色、藍色的校正系數;Irt、Igt、Ibt為三色校正目標值的相對亮度值;Iri、Igi、Ibi為第i個燈點三色相對亮度值。因此每個燈點所對應的校正矩陣為[RiGiBi]T。
實驗結果與分析
為了驗證本文所提出的算法的有效性,本文進行了一系列實驗。以紅色為例,圖6和圖7分別是未校正的原圖像和校正后的圖像,通過在視覺上的對比可以看出,通過使用本文的算法能夠有效地提高顯示屏圖像的亮度均勻性,并且由于使用的目標亮度值為各個燈點相對亮度值中較小的值,因此校正后的圖像比沒有校正的圖像整體稍暗。

圖8和圖9分別為校正前和校正后各燈點的相對亮度值直方圖。通過比較可以看出,校正前直方圖數據的差異性比較大,而校正之后直方圖數據的差異相對比較小,在特殊的情況下,如果統計的數據不存在任何的差異,直方圖會呈現一條直線。從實驗數據中可以發現,在經過亮度校正后,亮度均勻性得到了很好的改善。
結 論
本文針對全彩LED顯示屏亮度均勻性問題,通過使用數學形態學和大津法對由CCD相機采集到的圖像進行去噪和二值化處理,比較準確地確定了LED燈點的中心位置,通過使用較佳包含圓的方法計算出了燈點的相對亮度值,確定了每個燈點的亮度校正參數矩陣。與傳統的使用亮度計的做法相比,該算法成本低,操作方便,設備易于攜帶。實驗結果表明,該算法能夠快速、有效地對LED大屏幕進行檢測和亮度校正,延長了LED顯示屏的實際使用壽命。